PG新闻
News
电压基准源主要为医疗设备提供稳定、可靠的电压或电流参考,确保了医疗设备的准确性和可靠性。基准源芯片能够产生高度稳定电压或电流的集成电路,其输出电压或电流不受外界温度、电源电压波动等因素PG电子网站的影响。这种高度稳定性使得基准源芯片成为电子设备中确保电路性能一致性的关键元件。本文主要介绍一款国产电压基准源芯片替换REF3125用于医疗设备。
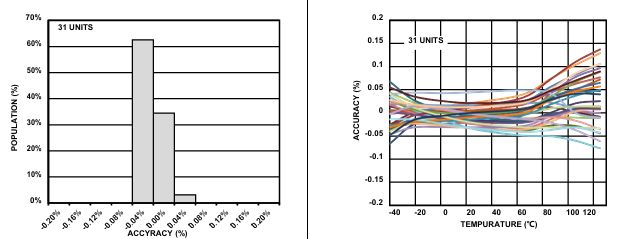
基准源芯片的高精度特性使得医疗设备能够进行更加精确的数据采集和分析。例如,在血压监测设备中,基准源芯片提供的稳定电压保证了血压测量的准确性。该国产电压基准源具有极低的温度漂移(15ppm/°C最大值)和高精度(0.15%最大),能保证模数转换器在不同环境温度下都能将模拟信号精确地转换为数字信号。

在医疗仪器中,基准源芯片提供稳定的参考电压,这是确保测量准确性的基础。例如,在心电图和血氧饱和度等生理信号的监测中,基准源芯片提供的稳定电压保证了测量结果的精确性。
该国产电压基准源长期稳定工作在45ppm/1000小时,该电压基准源具有低工作电流,功率消耗小于125ua。芯片与大多数ADC和DAC兼容,它提供了一个小的SOT-23封装。器件的低输出电压滞后和低长期输出电压漂移进一步提高了系统的稳定性和可靠性。
此外,器件的小尺寸和低工作电流(125ua)有利于可移动和电池供电应用。通过引入基准源芯片,医疗设备中的电路可以明显降低对外部环境的敏感度,从而提高电路的抗干扰能力和稳定性。这对于医疗设备的长期稳定运行至关重要。








